44 astrology and lottery wins

Lottery Horoscope for Your Lucky Winning Numbers | theLotter In 2018 alone, the Australian National Lottery contributed AU$1.4 billion to various good causes such as hospitals and children's health. When you play Australian Powerball for example, you know your money is going to good causes, and you can win incredible prizes while you're doing it! 5 Lucky Zodiac Signs Who Are Most Likely To Win The Lottery They are lucky enough to win the lottery and they'd know what to do with the money they won. 4. PISCES (February 19 - March 20) There's no rhyme or reason why Pisces attracts good luck. They should...

Most Accurate Astrological Tips to Win a Lottery | 100% Result ... According to Indian astrology, the combination of Jupiter and Venus is very important for winning a lottery. 2. Which House is the House of wealth according to lottery astrology? The 2nd House that is the House of Venus is considered to be the house of wealth in a birth chart. 3. What are the money Houses responsible for winning a lottery?

Astrology and lottery wins

Astrology and lottery wins

Horoscope Lucky Numbers for Each Star Sign in 2022 - MyLottoGuide The word horoscope can be traced back to ancient Greek.It refers to the many planets and their positions and influence on one's destiny.In the modern world, people use lottery horoscopes to help them choose their lucky numbers.. Although the numbers don't guarantee a jackpot win you can still use them as a lottery strategy to play the game. There is a specific method as to how these ... Predicting Lottery Numbers Astrology - Prachin Siddhi For instance, with predicting lottery numbers astrology, you can win the lottery and become rich overnight. Like the Saints and the Kings, Astrology has been revered by many for ages. Those who have tried it will vouch for its authenticity and accuracy. The predicting lottery numbers astrology is though not an exact science is still quite close ... Lucky Lottery Numbers for Each Star Sign In second place is number 17, also a top pick of many horoscopes. Only Libra, Scorpio and Sagittarius (consecutive star signs) preferred other numbers, including 10, 11, and 12. Number 19 comes in quite a distant third place. Cancer, Gemini and Scorpio chose 19 most often.

Astrology and lottery wins. Jupiter-Uranus and Lottery Winnings - A Study - AstroManda This came out to be 25%. So the Uranus transits to the natal midheaven and Jupiter/Uranus midpoint of the test group of lottery winners was 68% more than normal. The results were very significant. Study of Aspects between Jupiter/Uranus midpoint to Midheaven, Ascendant, and Vertex in the natal chart of lottery winners. Astrologically Forecasting a Lottery Winner - Halloran Her winning ticket will be good for $1,065,960, or $53,298 each year before taxes, lottery spokesman Dave Ellis said. The total jackpot was $3,197,880. "This is really going to make a big difference in our lives," Ellis quoted Baldwin as saying. She is to be married Sunday. Which Zodiac Signs Will Win the Lottery in 2022? (And How Do We Know?) Libras (7.7%), Capricorns (7.7%), and Aries (7.5%) didn't fare too well either. Here are the full results from the Lott's study: Pisces - 11.6% of top lottery winnings in 2019 Gemini - 9.9% Virgo - 8.9% Aquarius - 8.5% Scorpio - 8.5% Taurus - 8.5% Cancer - 8.2% Leo - 7.7% Libra - 7.7% Capricorn - 7.7% Aries - 7.5% Sagittarius - 6% Lottery Winning Indications in Astrology: Prize Bonds, Unexpected Gains Lottery Winning Indications in Astrology The 2nd house and 5th house Lords exchange the places. If the Mercury positioned in 11th house in his own indication conjoined with 6th house lord. Mars, Rahu, Venus, and Saturn conjoined in the zodiac sign, Virgo. All planets occupying in 2th-6th-8th-12th indicators.

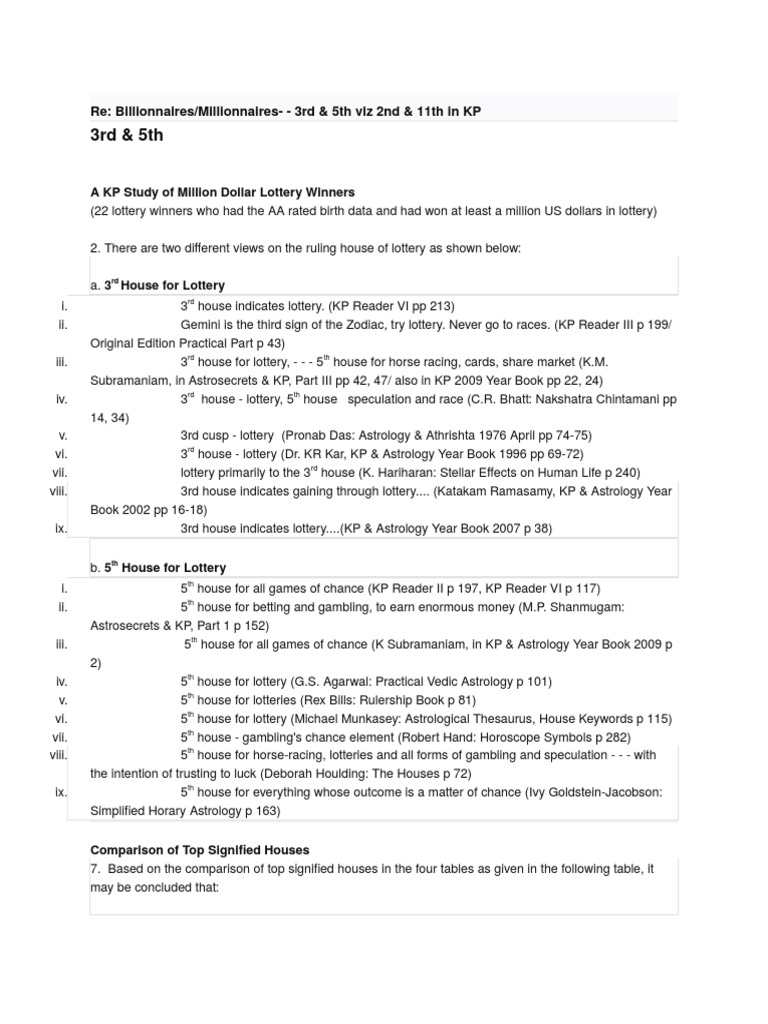
Using Astrology with Lotteries - Lucky Days 1. By indicating when you have very little chance of winning anything, let alone a lottery. An analysis of many dozens of lucky days shows that most wins occur under favorable planetary transits, when there are no adverse transits from Mercury, Venus and Mars, and sometimes the Sun and Saturn. The Most Accurate Lottery Horoscope from Lottery Pros Hence, gambling and playing the lottery religiously are both common for this horoscope. If a Leo wins, they'll probably enjoy some luxuries while also sharing a large portion of the prize with loved ones. Using Astrology to Win the Lottery Astrology is a very powerful tool as it is based on faith. Winning the lottery is primarily based on having a positive attitude and believing that you can win against the odds. In Astronomy, there are times believed to increase the chances of success in areas of life. Astrology Transits and Lottery Wins | Lipstick Alley Lottery wins are usually attributed to the 2nd, 5th, 8th, and 11th houses, the planets in these houses, and their rulers.The 2nd house represents wealth and material possessions; the fifth house represents the lottery and gambling; the 8th house represents unearned money and other people s money; the 11th house rules accumulated wealth and fluctuating money gains.

Ask An Astrologer: Winning The Lottery - Oh My Stars If you bought a lottery ticket every time you inhale, it would take you about 27 months to buy 14 million lottery tickets… 13,983,816 to get every possible combination for a 6 numbers from 1 to ... astrosanhita.com › navamsa-d9-chart-for-career-andNavamsa/ D9 Chart For Career and Marriage Prediction In Astrology Feb 22, 2020 · That’s why Vedic astrology writes about 6,8,12 houses are evil houses. The natives lose the sense of freedom and independence in many aspects of profession or in any kind of occupation. So, the 10th house in the Navamsa chart can also be used equally to study the precise nature and characteristics of the livelihood of a native. Can astrology predict winning the lottery? - Quora Yes, winning lottery can be predicted by using astrology. There are multiple houses related to your money means you can earn money prediction. These houses are 2nd, 5th, 8th, 9th, 11th. ... If you want to predict winning the lottery, then you need to give your date of birth, time and place to predict whether U get a lottery or not. Sudden, Unexpected Money Gain In Astrology and Lottery Luck - AstroSanhita The amount of winning the lottery depends upon the power and character of the planets included. Moon, Mars, Rahu, and Saturn are found to be providing enormous and unexpected materialistic benefits when they are strong and under the impact of positive planets. The eighth house of Vedic astrology horoscope shows sudden occurrences and unseen stuff.

Can astrology predict winning the lottery? - Quora

Can astrology predict winning the lottery? - Quora

Can Your Zodiac Sign Help You Win the Lottery? | GambleOnline In 2019, 11.6% of top lottery prizes went to Pisces, and that number rose to 14.3% in 2020. Gemini also came close to nabbing the top spot, taking home 9.9% in 2019 and 9.5% in 2020. Here's how much of the total prize pool the rest of the signs took home in 2020 (and their dates, in case you were wondering how lucky your sign is):

Lucky Numbers for Zodiac Signs | Lucky numbers for lottery ...

Lucky Numbers for Zodiac Signs | Lucky numbers for lottery ...

› lottery-success-stories-to8 Inspirational Lottery Winner Success Stories - LiveAbout Mar 31, 2022 · 8. Man Donates Lottery Jackpot to Fight Disease That Killed His Wife . Most people who win the lottery make plans to quit their job, travel the world, or buy a new house or car. But when Tom Crist won $40 million in a Canadian lottery, he had a very different idea. He donated every single dollar to fight the disease that killed his wife.

How To Win The Lottery With Astrology - English - YouTube

How To Win The Lottery With Astrology - English - YouTube

Winning at Lottery with Astrology Tips By Experts | Future Point Gemini: Gemini natives should buy the lottery tickets from Nagaland, Himachal Pradesh, Sikkim, and Assam regions in order to win the lottery jackpot. Cancer: If cancer natives want to bring success into their life, then they should buy the lottery tickets from Yangon, Delhi, and Sri Lanka regions can bring success for Cancer natives.

Buy Winning Lottery Online In India - Etsy India

Buy Winning Lottery Online In India - Etsy India

› where-does-lottery-money-goWhere Does Your Money Go When You Play the Lottery? - LiveAbout Apr 30, 2022 · The scholarship pays for four years of education in a Georgia-based college or university, as well as a stipend for books. Thanks to these lottery funds, billions of dollars in scholarships have been awarded to over a million Georgia students. In many states, lottery funds allow the state to spend more money on education without raising taxes.

Winning Lottery, or Gains From Gambling In BIRTH CHART | Vedic Astrology  With AMIT KAPOOR

Winning Lottery, or Gains From Gambling In BIRTH CHART | Vedic Astrology With AMIT KAPOOR

What astrological aspects can predicts if one can win a lottery? Answer (1 of 5): There is a collection of people, who won big in the lottery available here: Category:Lifestyle : Financial : Gain - Winnings/ Lottery You've got to look for the following factors in the prognostic chart: * Jupiter or the ruler of the 9th house: Luck * Uranus or the ruler of t...

Lottery & Astrology - Home | Facebook

Lottery & Astrology - Home | Facebook

astrologyking.com › venus-sextile-plutoVenus Sextile Pluto Natal and Transit – Astrology King Nov 29, 2015 · Venus sextile Pluto natal makes you passionate about love and the things that you love. Whether it be another person, a hobby, or anything else, you will become deeply involved in whatever it is you love. Love, giving love, and receiving love, is so important to you that your life would be meaningless without it. […]

Lotto Horoscopes: Which Sign is the Biggest Winner?

Lotto Horoscopes: Which Sign is the Biggest Winner?

HOW TO WIN LOTTERY USING ASTROLOGY - Blogger The numerological numbers range from 1-9. The number you get by adding your birth date digit is your numerological number. For example, if your birth date is 18.10.1993; your equation will be 1+8+1+0+1+9+9+3=32. Now reduce it to 3+2, i.e. 5. You have to keep reducing till you come to a single number.

Revealed: The star signs that are most likely to win the ...

Revealed: The star signs that are most likely to win the ...

› lgblog › lottery-system-reviewsLottery System & Software Reviews [2022] - Lottery-Guy.com Oct 16, 2020 · ‘Beat Lottery’ / Peter Dolinaj – claims to be able to predict lottery numbers, and will happily provide those numbers to you – for a price of course. Please don’t waste your money folks. These are no more likely to win than a quick pick. Lottery Slayer / JLR Group LLC – software that claims to pick better numbers. But it’s the ...

Secret Astrological Tips For Winning Lottery- Astrotalk

Secret Astrological Tips For Winning Lottery- Astrotalk

Lottery Winners and Astrology.. - Lipstick Alley Lottery wins are usually attributed to the 2nd, 5th, 8th, and 11th houses, the planets in these houses, and their rulers.The 2nd house represents wealth and material possessions; the fifth house represents the lottery and gambling; the 8th house represents unearned money and other people's money; the 11th house rules accumulated wealth and fluctuating money gains.

Lottery yoga in Astrology - Life Solutions by Astrologer ...

Lottery yoga in Astrology - Life Solutions by Astrologer ...

Astrology and winning the lottery - Astromarkt In the natal charts of the other 3 lottery winners I found: 1. Mercury-Jupiter Abraham Shakespeare has no combination of Mercury-Jupiter. 2. Mars-Jupiter There is no such combination in the chart of Shakespeare 3. Jupiter-Uranus But, Abraham Shakespeare doesn't have a Jupiter-Uranus aspect or midpoint combination.

WIN LOTTERY ASTROLOGY | LOTTERY JACKPOT ASTROLOGY | SUDDEN ...

WIN LOTTERY ASTROLOGY | LOTTERY JACKPOT ASTROLOGY | SUDDEN ...

nypost.com › 2022/08/11 › north-carolina-man-kennethNorth Carolina man wins lottery while celebrating wedding ... Aug 11, 2022 · A man in North Carolina won $100,000 in the lottery while he and his wife were celebrating their anniversary at the beach. Kenneth Smith, 33, of Greensboro, North Carolina, bought a $100 Million ...

Most Accurate Astrological Tips to Win a Lottery | 100 ...

Most Accurate Astrological Tips to Win a Lottery | 100 ...

Secret Astrological Tips For Winning Lottery - Astrotalk According to Vedic Astrology, to win the lottery conjunction of Venus and Jupiter is very important in your birth chart. Venus is the ruler of the 2nd house which rules over wealth and possessions. While Jupiter is the planet of fortune and Luck. Together they help a person to gain fortune and win over any sort of Lottery or Gambling.

Astrology & Lottery PC CD feeling lucky horoscope, winning numbers history  lotto

Astrology & Lottery PC CD feeling lucky horoscope, winning numbers history lotto

Lottery & Astrology: How Nakshatras Predict Your Luck? - AstroSage Journal Win The Lottery Jackpot With Astrologer Recommended Gemstones Venus Nakshatra: Bharani, Purva Phalguni, Purva Ashada Your wish of winning a lottery may get fulfilled very soon. For this, you should recite the sixth chapter of Durga Saptshati, for almost a month, and you will taste success sooner. Try to especially do this recital on Fridays.

Can astrology predict winning the lottery? : u/AstrologerSara

Can astrology predict winning the lottery? : u/AstrologerSara

Vedic Astrology Yoga For Winning Lottery: Having just one of these ... This is just an example chart of Richard Hogan, who had won $50,000 USD in 1993 in lottery. Vedic Astrology Yogas for Lottery Now lets come up to the specific yogas made between the 5th house, 9th house, 11th house, and 2nd house that give rise to luck in lottery and speculation.

Astrologically Forecasting a Lottery Winner

Astrologically Forecasting a Lottery Winner

nypost.com › 2022/09/08 › jose-flores-velasquez-winsJose Flores Velasquez wins $1M lottery after thinking he won $600 Sep 08, 2022 · A man in Virginia who thought he won $600 in the lottery ended up taking home a significantly larger cash prize. Jose Flores Velasquez of Annandale, Virginia, won $1 million playing the 20X the ...

Astrology and Winning The Lottery | PDF | Planets In ...

Astrology and Winning The Lottery | PDF | Planets In ...

Indications Of Winning Lottery Money - Vedic Astrology - cosmicastrozone Would you like sudden windfall of money and gains in life? If your answer was yes to the question, please read on. Lottery and astrology have had some relation over a long period of time. A lot of people consult astrologers with the question, will I win a jackpot in the lottery? Will I have a sudden rise in my social or financial status? We all want sudden rise in our life. It is easy and can ...

ASTROLOGICAL INDICATORS showing that... - Lottery & Astrology ...

ASTROLOGICAL INDICATORS showing that... - Lottery & Astrology ...

Astrology Remedies To Win Lottery Easily | AstroSOLV Planets responsible for Lottery Win & Loss. Based on core concepts of astrology, from living beings to non-living things planets draws an special effect. Making those planets favorable, these effects might be auspicious. Rahu has an special effect on betting or lottery. If Rahu is too strong in the horoscope of the native, one can make huge ...

Astrology and winning the lottery |

Astrology and winning the lottery |

Lucky Lottery Numbers for Each Star Sign In second place is number 17, also a top pick of many horoscopes. Only Libra, Scorpio and Sagittarius (consecutive star signs) preferred other numbers, including 10, 11, and 12. Number 19 comes in quite a distant third place. Cancer, Gemini and Scorpio chose 19 most often.

This is the star sign most likely to win the lottery

This is the star sign most likely to win the lottery

Predicting Lottery Numbers Astrology - Prachin Siddhi For instance, with predicting lottery numbers astrology, you can win the lottery and become rich overnight. Like the Saints and the Kings, Astrology has been revered by many for ages. Those who have tried it will vouch for its authenticity and accuracy. The predicting lottery numbers astrology is though not an exact science is still quite close ...

Can You Rely On Astrology To Win The Lottery? | by Edvin ...

Can You Rely On Astrology To Win The Lottery? | by Edvin ...

Horoscope Lucky Numbers for Each Star Sign in 2022 - MyLottoGuide The word horoscope can be traced back to ancient Greek.It refers to the many planets and their positions and influence on one's destiny.In the modern world, people use lottery horoscopes to help them choose their lucky numbers.. Although the numbers don't guarantee a jackpot win you can still use them as a lottery strategy to play the game. There is a specific method as to how these ...

Birth chart of Lottery winner 44284 - Astrology horoscope

Birth chart of Lottery winner 44284 - Astrology horoscope

LOTTERY | PDF | Gambling | Astrology

LOTTERY | PDF | Gambling | Astrology

Shayn Astrology

Shayn Astrology

Birth chart of Lottery winner 11398 - Astrology horoscope

Birth chart of Lottery winner 11398 - Astrology horoscope

Can You Rely On Astrology To Win The Lottery? | by Edvin ...

Can You Rely On Astrology To Win The Lottery? | by Edvin ...

Palm Signs Reveal Your Luck In Winning Lottery - Boldsky.com

Palm Signs Reveal Your Luck In Winning Lottery - Boldsky.com

This is the star sign most likely to win the lottery

This is the star sign most likely to win the lottery

Astrology and winning the lottery |

Astrology and winning the lottery |

ASTROLOGY LOTTERY PREDICTION

ASTROLOGY LOTTERY PREDICTION

Lottery Winning Lucky Number | Lottery Winning | Panchmukhi ...

Lottery Winning Lucky Number | Lottery Winning | Panchmukhi ...

Birth chart of Lottery winner 11398 - Astrology horoscope

Birth chart of Lottery winner 11398 - Astrology horoscope

Lottery Number Specialist | Lucky Lottery No. Specialist ...

Lottery Number Specialist | Lucky Lottery No. Specialist ...

Ask An Astrologer: Winning The Lottery - Oh My Stars

Ask An Astrologer: Winning The Lottery - Oh My Stars

Vintage NY lottery Scratch Off Lucky Signs expired winning ticket Astrology  2002

Vintage NY lottery Scratch Off Lucky Signs expired winning ticket Astrology 2002

Sudden, Unexpected Money Gain In Astrology and Lottery Luck

Sudden, Unexpected Money Gain In Astrology and Lottery Luck

Astrological analysis of a lottery win [N0921]

Astrological analysis of a lottery win [N0921]

Can I Win a Lottery How to Win Lottery Astrology Reading - Etsy

Can I Win a Lottery How to Win Lottery Astrology Reading - Etsy

Jyotish and Winning Lottery. Sudden gains in wealth - Jyotish ...

Jyotish and Winning Lottery. Sudden gains in wealth - Jyotish ...

Can Astrology Predict Winning The Lottery? - Astro Anuradha ...

Can Astrology Predict Winning The Lottery? - Astro Anuradha ...

Birth chart of Lottery winner 37291 - Astrology horoscope

Birth chart of Lottery winner 37291 - Astrology horoscope

Secret Astrological Tips For Winning Lottery- Astrotalk

Secret Astrological Tips For Winning Lottery- Astrotalk

Birth chart of Lottery winner 6780 - Astrology horoscope

Birth chart of Lottery winner 6780 - Astrology horoscope

Here Is The Astrological Sign That Is Most Likely To Win The ...

Here Is The Astrological Sign That Is Most Likely To Win The ...

WIN LOTTERY ASTROLOGY | LOTTERY JACKPOT ASTROLOGY | SUDDEN ...

WIN LOTTERY ASTROLOGY | LOTTERY JACKPOT ASTROLOGY | SUDDEN ...

0 Response to "44 astrology and lottery wins"

Post a Comment

Iklan Atas Artikel

Iklan Tengah Artikel 1

Iklan Tengah Artikel 2

Iklan Bawah Artikel